Differentiating Exponentials - Learn how to differentiate exponential functions of the form f(x) = a^x and f(x) = ax using the definition of the derivative and the chain rule. We’ll start off by looking at the exponential function, \[f\left( x \right) = {a^x}\] we want to differentiate this.
Learn how to differentiate exponential functions of the form f(x) = a^x and f(x) = ax using the definition of the derivative and the chain rule. We’ll start off by looking at the exponential function, \[f\left( x \right) = {a^x}\] we want to differentiate this.
We’ll start off by looking at the exponential function, \[f\left( x \right) = {a^x}\] we want to differentiate this. Learn how to differentiate exponential functions of the form f(x) = a^x and f(x) = ax using the definition of the derivative and the chain rule.
12X1 T02 01 differentiating exponentials
We’ll start off by looking at the exponential function, \[f\left( x \right) = {a^x}\] we want to differentiate this. Learn how to differentiate exponential functions of the form f(x) = a^x and f(x) = ax using the definition of the derivative and the chain rule.
Differentiating Exponentials And Logarithmic Functions
We’ll start off by looking at the exponential function, \[f\left( x \right) = {a^x}\] we want to differentiate this. Learn how to differentiate exponential functions of the form f(x) = a^x and f(x) = ax using the definition of the derivative and the chain rule.
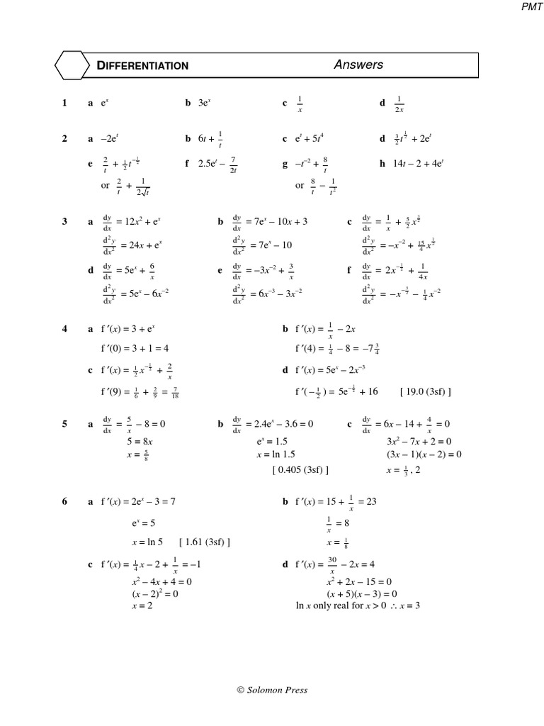
02b. Differentiating Exponentials and Logarithms Answers PDF
Learn how to differentiate exponential functions of the form f(x) = a^x and f(x) = ax using the definition of the derivative and the chain rule. We’ll start off by looking at the exponential function, \[f\left( x \right) = {a^x}\] we want to differentiate this.
Differentiating Exponentials r/apcalculus
We’ll start off by looking at the exponential function, \[f\left( x \right) = {a^x}\] we want to differentiate this. Learn how to differentiate exponential functions of the form f(x) = a^x and f(x) = ax using the definition of the derivative and the chain rule.
Part 7 Exponentials Differentiating Exponentials and Solving Equations
We’ll start off by looking at the exponential function, \[f\left( x \right) = {a^x}\] we want to differentiate this. Learn how to differentiate exponential functions of the form f(x) = a^x and f(x) = ax using the definition of the derivative and the chain rule.
12X1 T02 01 differentiating exponentials
We’ll start off by looking at the exponential function, \[f\left( x \right) = {a^x}\] we want to differentiate this. Learn how to differentiate exponential functions of the form f(x) = a^x and f(x) = ax using the definition of the derivative and the chain rule.
Part 7 Exponentials Differentiating Exponentials and Solving Equations
Learn how to differentiate exponential functions of the form f(x) = a^x and f(x) = ax using the definition of the derivative and the chain rule. We’ll start off by looking at the exponential function, \[f\left( x \right) = {a^x}\] we want to differentiate this.
12X1 t02 01 differentiating exponentials (2012)
Learn how to differentiate exponential functions of the form f(x) = a^x and f(x) = ax using the definition of the derivative and the chain rule. We’ll start off by looking at the exponential function, \[f\left( x \right) = {a^x}\] we want to differentiate this.
12X1 t02 01 differentiating exponentials (2012)
We’ll start off by looking at the exponential function, \[f\left( x \right) = {a^x}\] we want to differentiate this. Learn how to differentiate exponential functions of the form f(x) = a^x and f(x) = ax using the definition of the derivative and the chain rule.
03b. Differentiating Exponentials and Logarithms Further Questions
Learn how to differentiate exponential functions of the form f(x) = a^x and f(x) = ax using the definition of the derivative and the chain rule. We’ll start off by looking at the exponential function, \[f\left( x \right) = {a^x}\] we want to differentiate this.
We’ll Start Off By Looking At The Exponential Function, \[F\Left( X \Right) = {A^x}\] We Want To Differentiate This.
Learn how to differentiate exponential functions of the form f(x) = a^x and f(x) = ax using the definition of the derivative and the chain rule.







