Let F Be A Twice Differentiable Function - The correct answer is f(x)+∫0x (x−t)f'(t)dt=e2x+e−2xcos2x+2ax differentiating. Let f be a function that is twice differentiable for all real numbers. Let f be a function twice differentiable and with derivatives continuous on an interval $[a,b]$. Let g(x) = log(f(x)), where f(x) is twice differentiable function on (0, ∞) such that. Let $f$ be twice differentiable function on $(0,1)$. The table above gives values.
The correct answer is f(x)+∫0x (x−t)f'(t)dt=e2x+e−2xcos2x+2ax differentiating. The table above gives values. Let $f$ be twice differentiable function on $(0,1)$. Let g(x) = log(f(x)), where f(x) is twice differentiable function on (0, ∞) such that. Let f be a function that is twice differentiable for all real numbers. Let f be a function twice differentiable and with derivatives continuous on an interval $[a,b]$.
The table above gives values. Let g(x) = log(f(x)), where f(x) is twice differentiable function on (0, ∞) such that. The correct answer is f(x)+∫0x (x−t)f'(t)dt=e2x+e−2xcos2x+2ax differentiating. Let f be a function that is twice differentiable for all real numbers. Let f be a function twice differentiable and with derivatives continuous on an interval $[a,b]$. Let $f$ be twice differentiable function on $(0,1)$.
Solved Let y = f (x) be a twicedifferentiable function such
Let f be a function twice differentiable and with derivatives continuous on an interval $[a,b]$. Let f be a function that is twice differentiable for all real numbers. The table above gives values. Let g(x) = log(f(x)), where f(x) is twice differentiable function on (0, ∞) such that. Let $f$ be twice differentiable function on $(0,1)$.
[Solved] Let f be a twicedifferentiable function such that f '(1)= 0
Let f be a function twice differentiable and with derivatives continuous on an interval $[a,b]$. Let g(x) = log(f(x)), where f(x) is twice differentiable function on (0, ∞) such that. Let $f$ be twice differentiable function on $(0,1)$. The table above gives values. The correct answer is f(x)+∫0x (x−t)f'(t)dt=e2x+e−2xcos2x+2ax differentiating.
Solved Let f be a twicedifferentiable function such that
The correct answer is f(x)+∫0x (x−t)f'(t)dt=e2x+e−2xcos2x+2ax differentiating. Let g(x) = log(f(x)), where f(x) is twice differentiable function on (0, ∞) such that. Let $f$ be twice differentiable function on $(0,1)$. Let f be a function twice differentiable and with derivatives continuous on an interval $[a,b]$. The table above gives values.
Solved Let f be a twicedifferentiable function. Values of
Let f be a function that is twice differentiable for all real numbers. Let f be a function twice differentiable and with derivatives continuous on an interval $[a,b]$. The table above gives values. Let $f$ be twice differentiable function on $(0,1)$. The correct answer is f(x)+∫0x (x−t)f'(t)dt=e2x+e−2xcos2x+2ax differentiating.
Solved Let y=f(x) be a twicedifferentiable function such
Let f be a function that is twice differentiable for all real numbers. The correct answer is f(x)+∫0x (x−t)f'(t)dt=e2x+e−2xcos2x+2ax differentiating. Let f be a function twice differentiable and with derivatives continuous on an interval $[a,b]$. Let $f$ be twice differentiable function on $(0,1)$. Let g(x) = log(f(x)), where f(x) is twice differentiable function on (0, ∞) such that.
Solved Let f be a twicedifferentiable function defined by
The table above gives values. Let g(x) = log(f(x)), where f(x) is twice differentiable function on (0, ∞) such that. Let $f$ be twice differentiable function on $(0,1)$. The correct answer is f(x)+∫0x (x−t)f'(t)dt=e2x+e−2xcos2x+2ax differentiating. Let f be a function twice differentiable and with derivatives continuous on an interval $[a,b]$.
SOLVEDLet f be a twice differentiable function such that f^''(x)=f(x
The table above gives values. Let $f$ be twice differentiable function on $(0,1)$. Let f be a function twice differentiable and with derivatives continuous on an interval $[a,b]$. Let g(x) = log(f(x)), where f(x) is twice differentiable function on (0, ∞) such that. Let f be a function that is twice differentiable for all real numbers.
Let f[0,2]→ R be a twice differentiable function such that f\"(x)>0
Let f be a function that is twice differentiable for all real numbers. Let f be a function twice differentiable and with derivatives continuous on an interval $[a,b]$. Let $f$ be twice differentiable function on $(0,1)$. The table above gives values. Let g(x) = log(f(x)), where f(x) is twice differentiable function on (0, ∞) such that.
[Solved] Let f be a twicedifferentiable function such that f '(1)= 0
Let g(x) = log(f(x)), where f(x) is twice differentiable function on (0, ∞) such that. The correct answer is f(x)+∫0x (x−t)f'(t)dt=e2x+e−2xcos2x+2ax differentiating. Let $f$ be twice differentiable function on $(0,1)$. The table above gives values. Let f be a function that is twice differentiable for all real numbers.
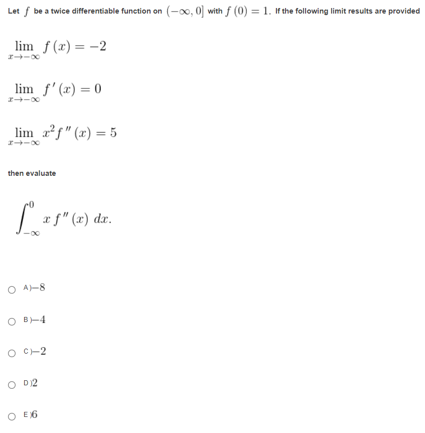
Solved Let f be a twice differentiable function on (−∞,0]
Let f be a function that is twice differentiable for all real numbers. The table above gives values. Let f be a function twice differentiable and with derivatives continuous on an interval $[a,b]$. Let g(x) = log(f(x)), where f(x) is twice differentiable function on (0, ∞) such that. The correct answer is f(x)+∫0x (x−t)f'(t)dt=e2x+e−2xcos2x+2ax differentiating.
Let F Be A Function Twice Differentiable And With Derivatives Continuous On An Interval $[A,B]$.
Let f be a function that is twice differentiable for all real numbers. The table above gives values. The correct answer is f(x)+∫0x (x−t)f'(t)dt=e2x+e−2xcos2x+2ax differentiating. Let $f$ be twice differentiable function on $(0,1)$.





![Let f[0,2]→ R be a twice differentiable function such that f\"(x)>0](https://dwes9vv9u0550.cloudfront.net/images/2733649/a7c71d1f-0740-42a8-9a5b-a85cf445c665.jpg)